pmocz

pmocz OP t1_j2eyavn wrote

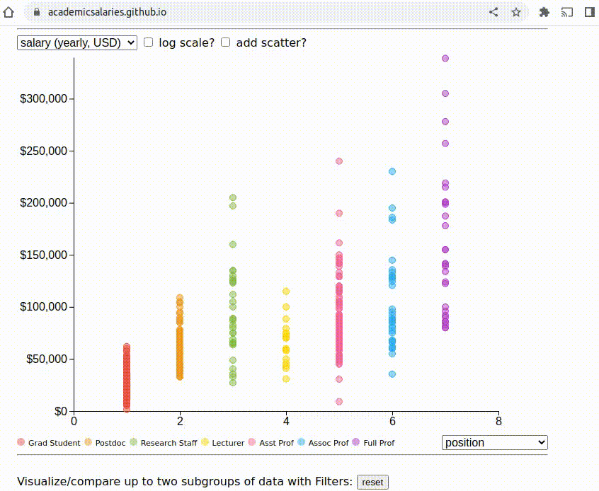
I fixed the blurriness of my previous post (https://www.reddit.com/r/dataisbeautiful/comments/100141q/oc_improved_growing_interactive_visualization_of/)

​

http://academicsalaries.github.io/
Check out the growing database/visualization at the link above, that is helping promote academic salary transparency.
The visualization uses D3 and the source-code and dataset are free at: https://github.com/academicsalaries/academicsalaries.github.io

3

pmocz OP t1_j2evq7f wrote

The inflation correction is used to re-adjust submitted salary data all to 2022 values. Most of the data I collected is from 2022, so the effect is small. But there is some data going back to 2010. What is interesting to visualize is: "inflation-corrected salary" vs "year (salary awarded)" and see if pay is keeping up with inflation

1